Notice
Recent Posts
Recent Comments
Link
| 일 | 월 | 화 | 수 | 목 | 금 | 토 |
|---|---|---|---|---|---|---|
| 1 | 2 | 3 | 4 | 5 | 6 | |
| 7 | 8 | 9 | 10 | 11 | 12 | 13 |
| 14 | 15 | 16 | 17 | 18 | 19 | 20 |
| 21 | 22 | 23 | 24 | 25 | 26 | 27 |
| 28 | 29 | 30 | 31 |
Tags
- 알고리즘
- 후니의쉽게쓴시스코네트워킹
- 청년내일채움공제
- leetcode
- 실업급여
- 회사폐업
- 코딩테스트
- 생애첫계약
- 막대기자르기
- 정보
- C++
- 캡쳐링
- 자취준비
- 정보처리기사개정
- 실업인정인터넷신청
- 취업사실신고
- 튜터링
- 네트워크
- 모여봐요동물의숲
- 부분합알고리즘
- 자료구조
- array
- 프로그래머스
- 사회초년생
- HeadFirstDesignPatterns
- 동적계획법
- 순열
- 후니의쉽게쓴시스코라우팅
- 전화영어
- IT기초
Archives
- Today
- Total
따봉도치야 고마워
[수학] 중복순열과 중복조합 본문
순열
- 서로 다른 N개에서
- 중복을 허락하지 않고 r개를 일렬로 나열하는 수

중복 순열
- 서로 다른 N개
- 중복을 허락하고 r개를 일렬로 나열하는 수

ex. 3개의 편지를 2개이 우체통에 넣을 때의 경우의 수
- 하나의 편지 당 2개의 경우의 수 : 2 * 2 * 2 = 2^3 = 8개가 됨
조합 - 순열에서 순서가 사라지면 조합이 된다.
- 서로 다른 N개에서
- 순서를 생각하지 않고
- 중복을 허락하지 않으며 r개를 선택

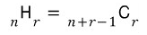
중복 조합
- 서로 다른 N개에서
- 순서를 생각하지 않고
- 중복을 허락하여 r개를 선택

푸는 방법 :
- 각 조합 요소에 0,1,2..를 더해줘 중복을 없애주면 일반 조합이 됨.
- 즉 서로 다른 N+r-1개 중 r개를 뽑는 경우의 수를 구하면 됨
ex) 사과, 배, 귤 3가지 과일이 있을 때 9개를 구매하는 경우의 수

ex) 위 문제에서 사과, 배, 귤 1개씩은 꼭 포함 되어야 할 때 (1개 씩이 아니여도 마찬가지)
- 미리 사두면 됨 9-3 = 6

순열과 조합 차이 예시
1. 대표 뽑기
순열) 4명 중 반장, 부반장을 뽑을 때 경우의 수
- 서로 다른 4명이고 반장, 부반장을 뽑는다 (순서o)
- ₄P₂
조합) 4명 중 대표를 2명 뽑을 때 경우의 수
- 서로 다른 4명이고 대표를 2명 뽑는다 (순서x)
- ₄C₂
2. 후보 2명, 유권자 6명일 때 - 무기명 투표, 기명 투표
중복순열) 기명 투표 (내가 A, 친구가 B뽑은 것과 / 친구가 A, 내가 B 뽑은 것은 다른 것)

중복조합) 무기명 투표

'프로그래밍 > 알고리즘' 카테고리의 다른 글
| [프로그래머스] 자물쇠와 열쇠 (0) | 2020.06.02 |
|---|---|
| [프로그래머스] 멀리 뛰기 (0) | 2020.06.02 |
| [프로그래머스] 지형 이동 (0) | 2020.06.01 |
| [프로그래머스] 종이접기 (0) | 2020.06.01 |
| [프로그래머스] 방문 길이 (0) | 2020.05.27 |
Comments